Acasă
Știri / Anunțuri
Galerie Foto
Galerie video
Contact
Monitorul Oficial Local
Primăria Comunei Criciova, județul Timiș
Informații de interes public
Solicitare informații. Legislație
Buletinul Informativ (Legea 544/2001)
Comisia paritară
Protecția datelor cu caracter personal
Buget din toate sursele de venituri
Bilanțuri contabile
Achiziții publice
Formulare tip (cu menționarea timpului necesar completării)
Info int publ încărcate până în dec 2021
Declarații de avere si interese
Integritate instituţională
Lista cadourilor primite
Mecanismul de raportare a încălcărilor legii
Declarația privind asumarea unei agende de integritate organizațională
Situaţia incidentelor de integritate
Raport narativ referitor la stadiul implementării măsurilor prevăzute în SNA, planul de integritate
Cod etic/deontologic/de conduită
Planul de integritate al instituţiei
Studii/cercetări/ghiduri/materiale informative relevante
Primăria
Structura
Program cu publicul
Urbanism
Starea civilă
Acte și formulare
Taxe și impozite
Asistență socială
Vânzări terenuri
Consiliul local
Consiliul local
Despre localitate
Informații generale
Sate
Vizitatori website
Istorie
Patrimoniu
Cultură
Biserici
Media
Educație
Transport
Sport
Adrese utile
Informații europene
Personalități locale
Turism
Informații turistice
Obiective
Cazare
Economie
Informații economice
Firme
Proiecte, investiții
Târguri și expoziții
Organizații
Sponsori / parteneri
Agricultură / Fond funciar/ Registru agricol
SVSU
Serviciul voluntar pentru situații de urgență
CAMC
Centrul de asistență medicală comunitară
RDPL
Registrul datoriei publice locale
SPCLEP
Serviciul public comunitar de evidenţă a persoanelor
Politica de confidențialitate
Transparență decizională
Proiecte de acte normative aflate în consultare publică
Registrul pentru consemnare și analizarea propunerilor, opiniilor sau recomandărilor
Dezbateri publice
Consultări interministeriale
Proiecte de acte normative pentru care nu mai pot fi trimise sugestii
Proiecte de acte normative adoptate
Numele și prenumele persoanei desemnate responsabilă pentru relația cu societatea civilă
DECLARATII DE AVERE
Raport periodic Legea nr. 52/2003
RUTI
Formular pentru colectarea de propuneri, opinii, recomandări (cf. Legii nr. 52/2003)
Ședințe publice / Anunțuri / Minute
Rapoarte de aplicare a Legii nr. 52/2003
Registrul asociațiilor, fundațiilor și federațiilor luate în evidență de instituție
Despre instituţie
Legislație (organizarea și funcționarea instituției)
Conducere
Organizare
Programe și strategii
Rapoarte și studii
Ghid pentru accesul publicului la informații de mediu
Ghidul autorităților publice pentru accesul publicului la informația de mediu
Primăria
Vânzări terenuri
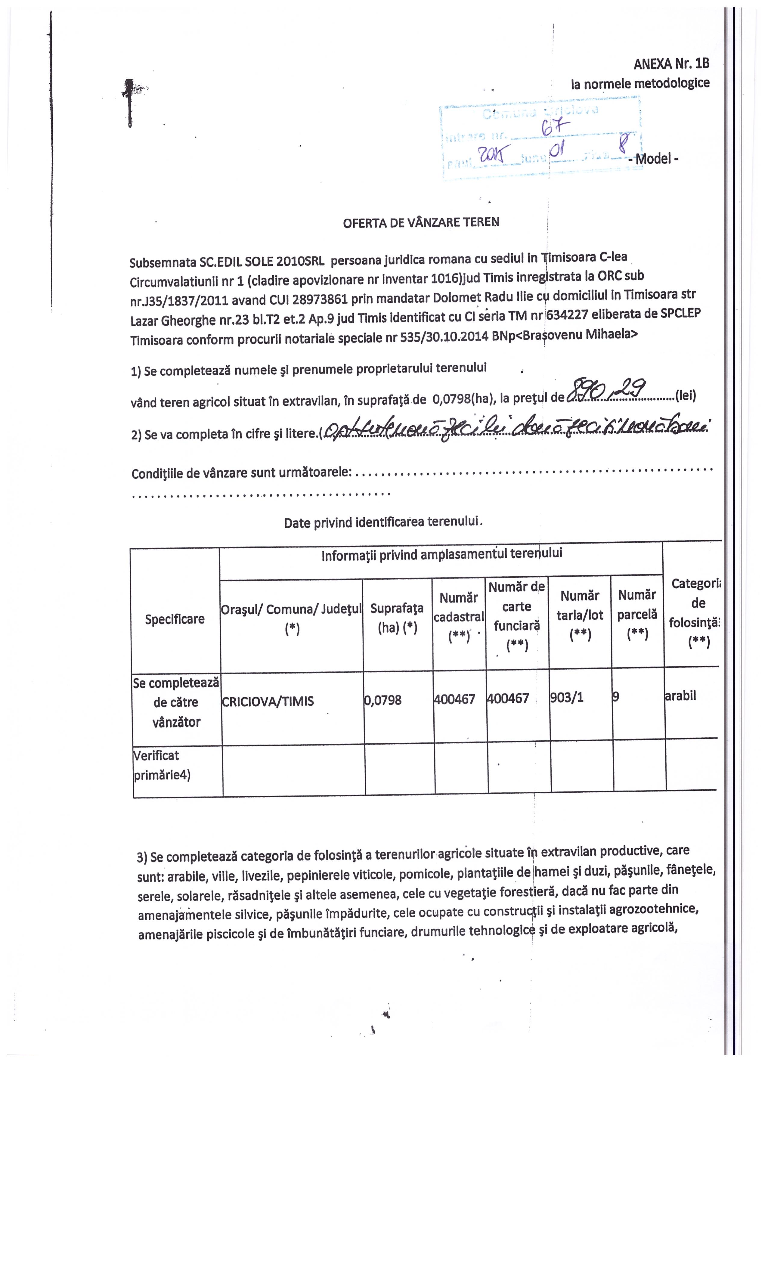
oferta vanzare EDIL SOLE 67
oferta vanzare EDIL SOLE 67
Ofertă de vânzare
67.jpeg